New Site Launched: Looking for oligos? Visit our new oligo and Stellaris dedicated platform at
oligos.biosearchtech.com
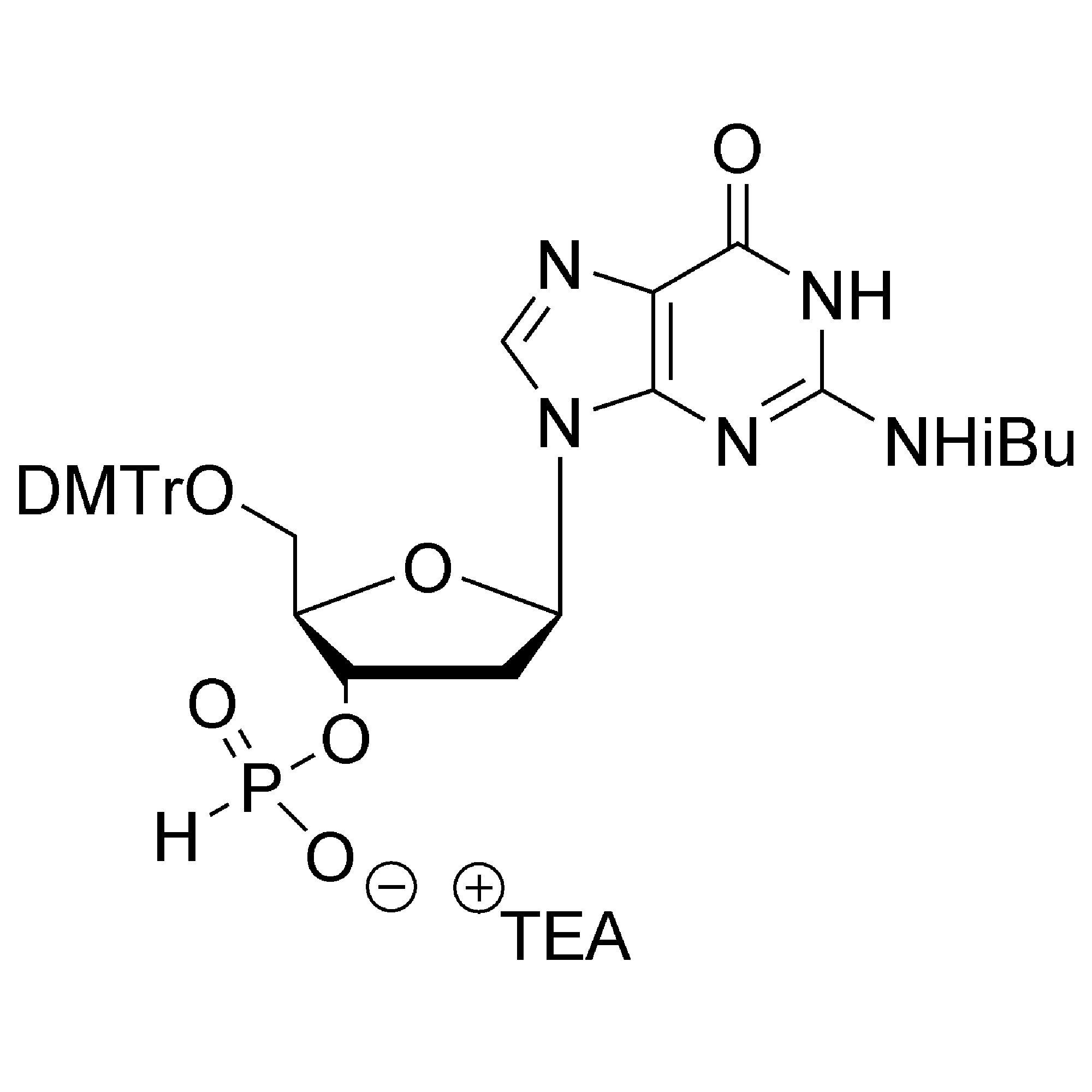
dG (iBu) H-Phosphonate TEA salt
You are currently seeing list prices, to see your prices please log in
dG (iBu) H-Phosphonate TEA salt
Monomer for H-phosphonate nucleic acid synthesis.
Key features
Show- Allows alternative approach to nucleic acid synthesis, difficult by phosphoramidite method.
- Provided in stable salt form.
- Note that additional ancillary reagents are required for use.
Added to basket
Product information
H-phosphonate monomers are useful for the preparation of internucleotide linkages that are not attainable by phosphoramidite chemistry.(1)
Despite being a niche technique, the advantage of this chemistry over phosphoramidite chemistry is that in one reaction the backbone of the entire oligonucleotide is converted to the required form. This is typically oxidation to give a sugar-phosphate backbone or sulphurised to give a thiophosphate-sugar backbone, or conversion to the silyl phosphite triester which provides a useful means of generating a variety of phosphorus analogues.(2)
The H-phosphonate moiety renders phosphate protection unnecessary and the nucleobases are deprotected using ammonium hydroxide conditions applicable to any unmodified or phosphorothioate oligonucleotide. A popular application of H-phosphonate method is the synthesis of radiolabelled phosphorothioates.(3)
The ancillary reagents required for H-phosphonate chemistry are different from phosphoramidite chemistry,(4) and not available through the NAC portfolio. We recommend anyone using this chemistry prepares the ancillary solutions fresh for use.
Ref:
- Nucleoside H-phosphonates. Chemical synthesis of oligodeoxyribonucleotides by the hydrogenphosphonate approach, P.J. Garegg, I. Lidh, T. Regberg, J. Stawinski and R. Strömberg, Tetrahedron Lett., 27, 4051-4054, 1986.
- Synthesis of DNA/RNA and their analogs via phosphoramidite and H-phosphonate chemistries, S. Roy and M. Caruthers, Molecules, 18, 14268-14284, 2013.
- Preparation of 35S-labelled polyphosphorothioate oligodeoxyribonucleotides by the use of H-phosphonate chemistry, C.A.Stein, C.A. Iversen, C. Subashinge, J.S. Cohen, W.J. Stec and G. Zon, Analytical Biochem., 188, 11-16, 1990.
- Novel activating and capping reagents for improved hydrogenphosphonate DNA synthesis, A. Andrus, J.W. Efcavitch, L.T. McBride and B. Giusti, Tetrahedron Lett., 29, 861-864, 1988.
Applicable Products
| LK2005 | dT-H Phosphonate, TEA Salt |
| LK2006 | dG-H Phosphonate, TEA Salt |
| LK2007 | dA-H Phosphonate, TEA Salt |
| LK2035 | dC-H Phosphonate, DBU Salt |
Please note that the liquid reagents used in H-phosphonate synthesis are unfortunately not available from Link Technologies.
Physical & Dilution Data
Dilution volumes (in ml) are for 0.1M solutions in dry acetonitrile/pyridine (1:1). Adjust accordingly for other concentrations. For µmol pack sizes, products should be diluted as 100µmol/ml to achieve 0.1M, regardless of molecular weight.
Item |
Mol. Formula |
Mol. Wt. |
Unit Wt. |
250mg |
500mg |
1g |
| LK2005 | C37H48N3O9P | 707.79 | 304.20 | 3.52 | 7.04 | 14.09 |
| LK2006 | C41H53N6O9P | 804.89 | 329.21 | 3.11 | 6.21 | 12.42 |
| LK2007 | C44H51N6O8P | 822.90 | 313.21 | 3.04 | 6.08 | 12.15 |
| LK2035 | C43H51N4O9P | 849.93 | 289.18 | 2.94 | 5.88 | 11.77 |
Dissolution
All monomers must be dissolved in acetonitrile/ pyridine (1:1).
Coupling & Capping1
Normal deblock is used, however activation is carried out with 1-adamantane carbonyl chloride dissolved in acetonitrile/pyridine (95:5). Capping is carried out with the TEA salt of isopropyl phosphite.
Oxidation
There are two oxidation steps and they need only be carried out at the end of the synthesis. The first is accomplished using 0.1M iodine in pyridine/ N-methylimidazole/water/THF (5:1:5:89), and the second with 0.1M iodine in triethylamine/water/ THF (5:5:90).
Deprotection
Standard oligonucleotide deprotection conditions can be applied when deprotecting an oligo synthesised using these products.
Storage & Stability
Refrigerate monomers. Stability in solution is approximately 1 week.
Reference
- Novel activating and capping reagents for improved hydrogenphosphonate DNA synthesis, A. Andrus, J.W. Efcavitch, L.T. McBride and B. Giusti, Tetrahedron Lett., 29, 861-864, 1988.
Do you need these to complete your set?
Select your options for dG (iBu) H-Phosphonate TEA salt to view items in this set
Access support
Need some support with placing an order, setting up an account, or finding the right protocol?
Contact us