
Biosearch Technologies is part of LGC Diagnostics & Genomics – Learn More
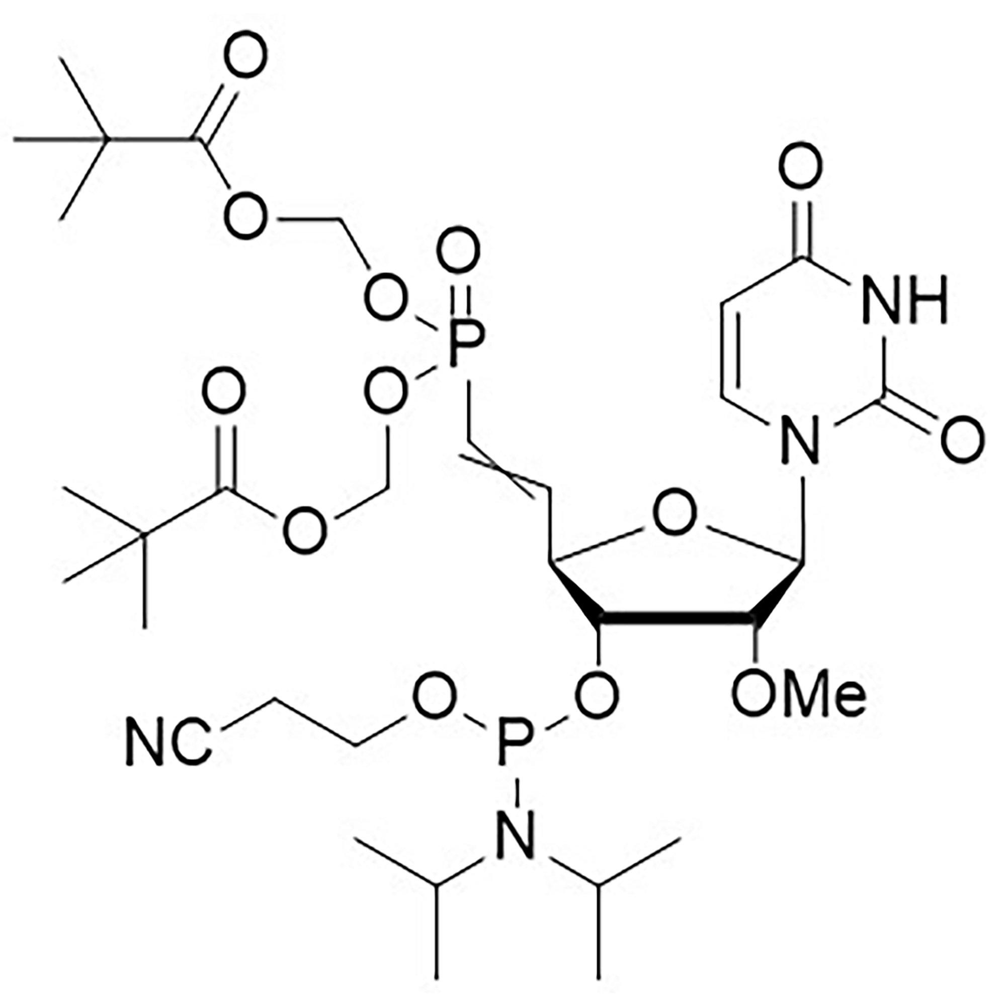
The standard dU nucleobase is chemically ligated with a hydrolytically impervious 5’ vinyl phosphonate (VP), an effective bioisostere of the natural 5′-monophosphate in small interfering RNAs (siRNAs). VPs are shown to enhance RNA-induced silencing complex (RISC) recognition and thus avoid the use of metabolically unstable 5’ phosphates. There is some evidence to suggest enhancement of exonuclease stability. Of particular use where a sequence is incompatible with cellular kinases and thus cannot be 5’ phosphorylated in-vitro. (1)
Two options are available, either OMe or POM protection. 5'-[O,O-bis(pivaloyloxymethyl)] (POM) protection allows clean and rapid one-step deprotection with addition of 3% (v/v) diethylamine to the standard aqueous ammonia deprotection solution, minimizing side reactions and impurities.
Ref:
Need some support with placing an order, setting up an account, or finding the right protocol?
Contact us| Europe, Middle East, and Africa | |
|---|---|
| UK | +44 1992 470 757 |
| Germany | +49 30 1663 54600 |
| North America, Latin America | |
| Wisconsin, USA | +1 888 575 9695 |
| Asia Pacific | |
| China | +8621-22509000 |
| Singapore | +65 6734 4800 |