
Biosearch Technologies is part of LGC Diagnostics & Genomics – Learn More
Chemical phosphorylation is a cost-effective alternative to enzymatic methods (using T4 polynucleotide kinase and ATP), allowing efficient introduction of terminal phosphate groups. Oligonucleotides containing a 5'-phosphate group have various applications, being most widely used as a means of ligating one oligo to another, e.g. as linkers and adapters, in cloning, gene construction, and ligation in general. This is still the most common method of gene synthesis. 3'-Phosphorylations, however, are used to block enzyme activity. For example, this is an efficient and commonly used PCR blocking technique.
Phosphorylation of the 5'-terminus on oligonucleotides is routinely achieved, with higher yields than using kinase, using a Chemical Phosphorylation Reagent (also known as CPR or “Phosphate-ON”). (1) Aside from its inherent convenience, CPR also has the advantage over enzymatic methods in allowing determination of the phosphorylation efficiency due to the presence of the DMTr protecting group. However, the trityl group cannot be used as a purification handle. It is eliminated along with the sulphonyl ethyl group to produce the 5'-phosphate during the ammonium hydroxide deprotection. CPR can also be used at the 3'-end to incorporate a 3'-phosphate by addition to any support (e.g. a dT column). This is particularly useful for labelling long oligos where higher pore sized resins for modification are not available. It is for this reason we introduced the 3000 Å phosphate support.
This technique is not only limited to phosphate modification, since any modifying phosphoramidite can be added to the phosphate-ON-T. In this case the oligo will be terminated at the 3'-end with “modifier-phosphate-3’”.
With CPR II (2) conventional ammonium hydroxide cleavage gives rise to an oligonucleotide protected at the 5'-phosphate with a DMTr-ether. At this stage, the oligo may be easily separated from truncated impurities by e.g. RP-HPLC or cartridge-purification. The DMTr-group is then removed by aqueous acid and brief ammonium hydroxide treatment yields the 5'-phosphate. Alternatively, the yield of the last coupling may be quantified by detritylation of the oligo whilst still on the support. Deprotection then leads to the 5'-phosphorylated oligo.
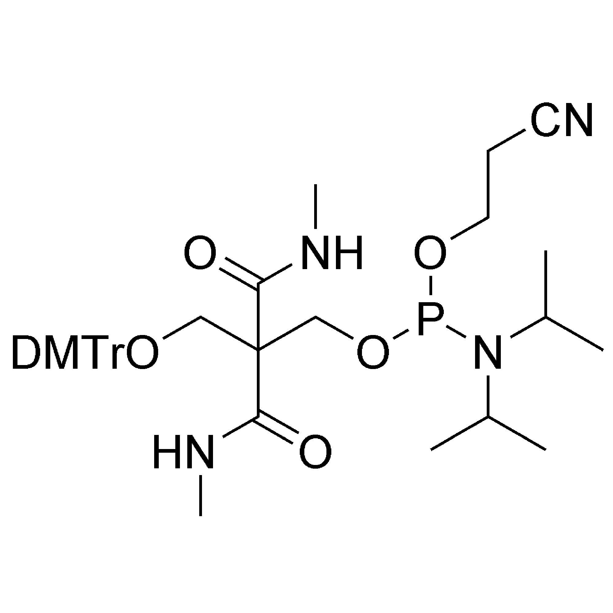
This CPR II reagent has been further refined (by substituting the ethyl esters for methyl amides) to provide a product “solid CPR”,(3) that offers all the benefits of CPR II whilst also being a stable solid that permits easy weighing, handling and dissolution (the other phosphate amidites are both viscous glasses). This product also allows the option of DMT ON purification. The presence of the methylamides in this protects the modification from ß-elimination reactions until the base hydrolysis during deprotection. This can therefore be used in conjunction with Fmoc or levulinyl protected branching monomers without forming the phosphate moiety until the deprotection step.
3'-Phosphate CPGs allow direct preparation of oligonucleotides with a 3'-phosphate group. CPR II or solid CPR cannot be used for 3'-phosphorylation since the DMTr- protected OH is required to release the phosphate group.
Ref:
| LK2101 | Chemical Phosphorylation Reagent (CPR) |
| LK2110 | CPR II |
| LK2127 | Solid Chemical Phosphorylation Reagent (solidCPR™) |
| LK2279 | 3'-Phosphate SynBase™ CPG 1000/110 |
| LK2389 | 3'-Phosphate SynBase™ Polystyrene |
| LK2398 | 3'-Phosphate SynBase™ CPG 3000/110 |
Dilution volumes (in ml) are for 0.1M solutions in dry acetonitrile (LK4050). Adjust accordingly for other concentrations. For µmol pack sizes, products should be diluted as 100µmol/ml to achieve 0.1M, regardless of molecular weight.
Item |
Mol. Formula |
Mol. Wt. |
Unit Wt. |
250mg |
500mg |
1g |
| LK2101 | C34H45N2O7PS | 656.77 | 79.98 | 3.81 | 7.61 | 15.23 |
| LK2110 | C39H51N2O9P | 722.82 | 79.98 | 3.46 | 6.92 | 13.83 |
| LK2127 | C39H49N4O7P | 692.79 | 79.98 | 3.61 | 7.22 | 14.43 |
| LK2279 | - | - | 79.98 | - | - | - |
| LK2389 | - | - | 79.98 | - | - | - |
| LK2398 | - | - | 79.98 | - | - | - |
Note that LK2101 and LK2110 must be dissolved in acetonitrile at least 10min prior to placing on the synthesiser.
The CPR (LK2101) is coupled and deprotected using standard instrument conditions. Note that the DMTr-group is lost during ammonium hydroxide deprotection and thus is not available for cartridge purification. For 5’-phosphorylation 2101 is coupled in the final step of the synthesis as with other 5’-modifications. The DMTr group is used to give an indication of the coupling efficiency.
In addition, LK2101 can also be used for simple phosphorylation of the 3’-terminus. To do this it is introduced as the first addition to the solid support, followed by synthesis of the oligo (any convenient support can be used since the support-bound nucleotide is not incorporated into the sequence). After standard deprotection, the linkage decomposes and is ß-eliminated leaving a phosphate group at the 3’-end. The final DMTr group may be removed on the synthesiser or it may be retained to aid purification. If retained, it can be removed on a purification cartridge or, following purification, by treatment with acetic acid:water (80:20) at room temperature for 1h.
Alternatively, direct preparation of oligos with a 3’-phosphate can be achieved using 3’-Phosphate CPG (LK2279 and LK2398) or polystyrene (LK2389). These supports are used in a manner identical to standard protected nucleoside supports. Cleavage and deprotection of the oligos synthesised with these modifications is as per the standard bases of the oligo. However, to complete the ß-elimination of the sulphonyl diethanol group to form the phosphate heat is required. The minimum deprotection conditions are AMA for 35min at 55°C.
The phosphorylation reagents (LK2101, LK2279, LK2389 and LK2398) are all compatible with TBDMS and TC RNA chemistries, but the DEA wash needs to be eliminated from the cleavage and deprotection step in both cases. The addition of the terminal phosphate adds protection against nucleases to the RNA.
The use of solidCPR™ (LK2127) or CPR II (LK2110) has advantages over CPR (LK2101) and as such have a distinct protocols. Standard CPR protocols cannot be used as this will lead to poor results. LK2127 and LK2110 are coupled in the final step in the synthesis using a 6min coupling time. If wishing to remove the DMTr group, a second deblock step is recommended.
The support, after detritylation, is treated using standard deprotection and cleavage conditions. All deprotection and cleavage conditions in current regular use, including fast deprotection, will release the terminal free phosphate. The two most suitable options are either ammonium hydroxide solution for 4h at 55˚C or AMA for 2h at RT. After this cleavage and deprotection step the free 5’ phosphate is obtained.
The sequence with a 5’-DMTr group is purified, after synthesis and base deprotection, using a modified protocol for cartridge purification. After detritylation on the cartridge by treatment with 2% aqueous trifluoroacetic acid (TFA) the final phosphorylated sequence is obtained via the following steps:
Store products in a freezer dry at –10 to -30°C. Use LK2101 or LK2110 solutions within 24h. 2127 is stable in solution for 2-3 days.
SolidCPRTM is sold by agreement with Glen Research, Corp., Virginia, US under EP Patent No. 0816368.
Need some support with placing an order, setting up an account, or finding the right protocol?
Contact us| Europe, Middle East, and Africa | |
|---|---|
| UK | +44 1992 470 757 |
| Germany | +49 30 1663 54600 |
| North America, Latin America | |
| Wisconsin, USA | +1 888 575 9695 |
| Asia Pacific | |
| China | +8621-22509000 |
| Singapore | +65 6734 4800 |