Skip to content Skip to navigation menu
New Site Launched: Looking for oligos? Visit our new oligo and Stellaris dedicated platform at oligos.biosearchtech.com
Happy Holidays! View our holiday closures and shipping schedule. HOLIDAY SCHEDULE
 

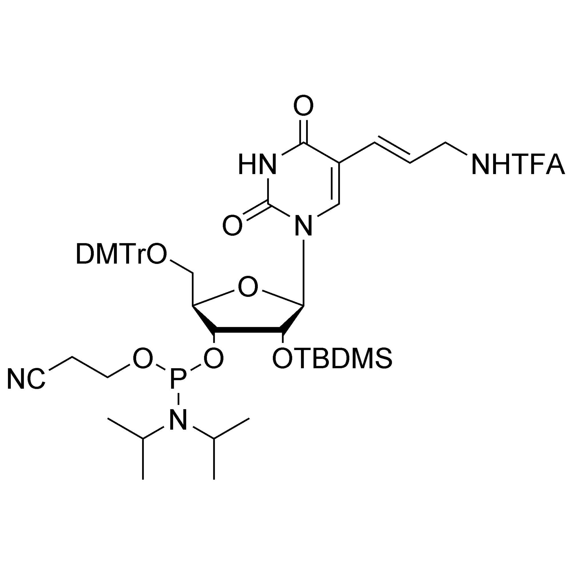
5-Aminoallyl-U CE-Phosphoramidite

5-Aminoallyl-U CE-Phosphoramidite

CAS No.:1269413-27-5

Allows the introduction of a 5-aminoallyluridine residue into oligonucleotides for the purpose of post-synthetic labeling by acylation.
Option 1: Select a Size
Option 2: Select a Bottle Type
TBD
Add to basket to request a quote

Product information

We offer four uridine-based amino-modifier phosphoramidites for the synthesis of amine-modified RNA, Amino-modifier-C6-U (BA0247), 5-Aminoallyl-U (BA0269), 2'-O-Aminolinker-U (BA0281) and 2'-O-Aminolinker-5-Me-U (BA0191). If tethering a reporter group to the 2' oxygen of uridine via an amine is preferred, 2'-O-Aminolinker-U offers an alternative to 2'-aminouridine and 2'-O-(2-aminoethoxy)uridine. Placing the amino group farther from the sugar ring may be advantageous in post-synthetic acylation reactions. Coupling is accomplished using normal dilution and protocols for RNA, i.e., 12 minute coupling time.
To our knowledge, 5-Aminoallyl-U-CE Phosphoramidite does not appear in the literature. However, the 2'-deoxyribo version (5-Aminoallyl-dU CEP) is known (1) and is also offered (BA0311).
It should be noted that the 2'-deoxy version is useful not only in amine modification, but in triplex-forming oligonucleotides (TFOs) that are similar in stability to those bearing unmodified residues. Williams and co-workers(2) studied the incorporation of 5-aminoallyl-dU residues into TFOs, where a single incorporation did not change the stability of the triplex vs. unmodified TFOs. Multiple incorporations led to a lower triplex stability. The pKa of the protonated form of the amino group of 5-aminoallyl-dU is expected to be 9.7 based on studies on the free nucleoside. Conformational studies on the nucleoside were also carried out.

Ref:

  1. (a) Cook, A. F.; Vuocolo, E.; Brakel, C. L. Nucleic Acids Res. 1988, 16, 4077-4095. (b) Lermer, L.; Yoann, R.; Ting, R.; Perrin, D. M. J. Am. Chem. Soc. 2002, 124, 9960-9961. See especially the Supporting Information.
  2. Brazier, J. A.; Shibata, T.; Townsley, J.; Taylor, B. F.; Frary, E.; Williams, N. H.; Williams, D. M. Nucl. Acids Res. 2005, 33, 1362-1371.

Access support

Need some support with placing an order, setting up an account, or finding the right protocol?

Contact us