
Biosearch Technologies is part of LGC Diagnostics & Genomics – Learn More
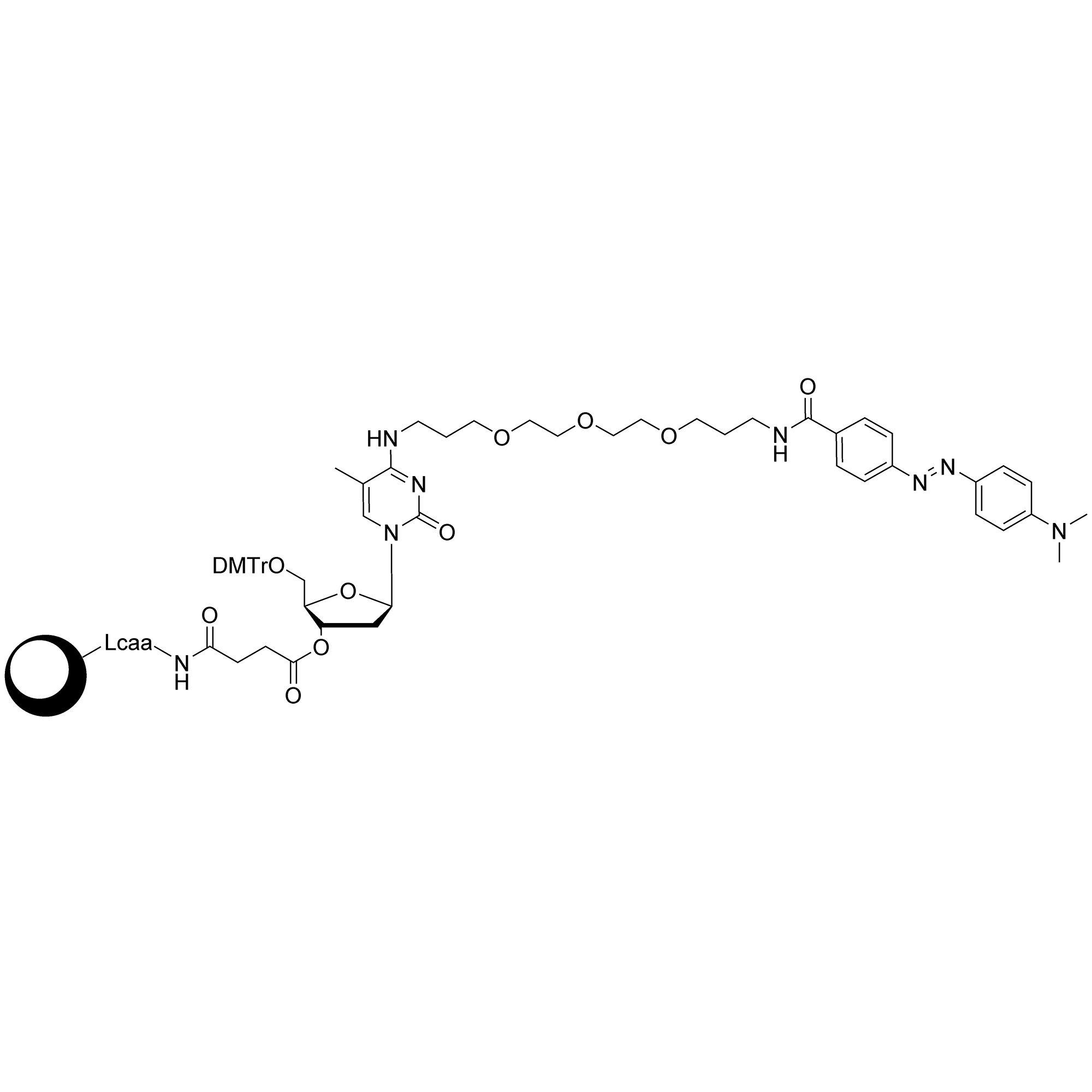
Dabcyl is a non-fluorescent molecule, (so-called dark quencher) efficiently quenching various fluorescent dyes. It has been widely used as a quencher in diagnostic probes such as Molecular Beacons.(1) A Molecular Beacon is a hybridisation probe consisting of a fluorophore, a quencher and a defined section of the oligonucleotide sequence complementary to that of the target nucleic acid. In the inactive state, when the probe is not hybridised to its target sequence, the fluorescence energy of the fluorophore is transferred to the quencher by a process of collisional quenching. For light energy transfer to take place efficiently, both fluorophore and quencher have to be in close proximity. This requirement is accounted for in the design of Molecular Beacons in that the two parts of the stem hybridise to hold the F/Q pair in close proximity. Hybridisation of the Molecular Beacon probe to its target sequence results in the separation of the stem and hence the F/Q pair, resulting in fluorescence. We offer a variety of CPG and phosphoramidite Dabcyl products for myriad applications. Since Dabcyl is stable to oligo synthesis it can be incorporated at any point in the sequence. 5’ modification is used in TwistAmp fpg probes; 3’ modification in Taqman probes, duplex Scorpions and Molecular Beacons; and internal modification has been utilised in Scorpion Primers. Deprotection of the oligo is dependent on the F/Q pair but in general is as per unmodified oligos. Dabcyl’s absorption properties limit the range of dyes it can quench to those emitting at 400-550 nm such fluorescein and JOE (absorption maximum, 471 nm), but tends to overlap poorly with fluorophores emitting above 480 nm. However, when used in Molecular Beacons, the fluorophore and Dabcyl are brought close enough to allow a slightly broader spectrum of dyes to be quenched, thereby increasing the versatility of the Dabcyl molecule. Although Dabcyl was originally the quencher of choice, for the most part this has been superceded by Black Hole Quenchers (BHQs) for newer applications.
Ref:
Need some support with placing an order, setting up an account, or finding the right protocol?
Contact us| Europe, Middle East, and Africa | |
|---|---|
| UK | +44 1992 470 757 |
| Germany | +49 30 1663 54600 |
| North America, Latin America | |
| Wisconsin, USA | +1 888 575 9695 |
| Asia Pacific | |
| China | +8621-22509000 |
| Singapore | +65 6734 4800 |