New Site Launched: Looking for oligos? Visit our new oligo and Stellaris dedicated platform at
oligos.biosearchtech.com
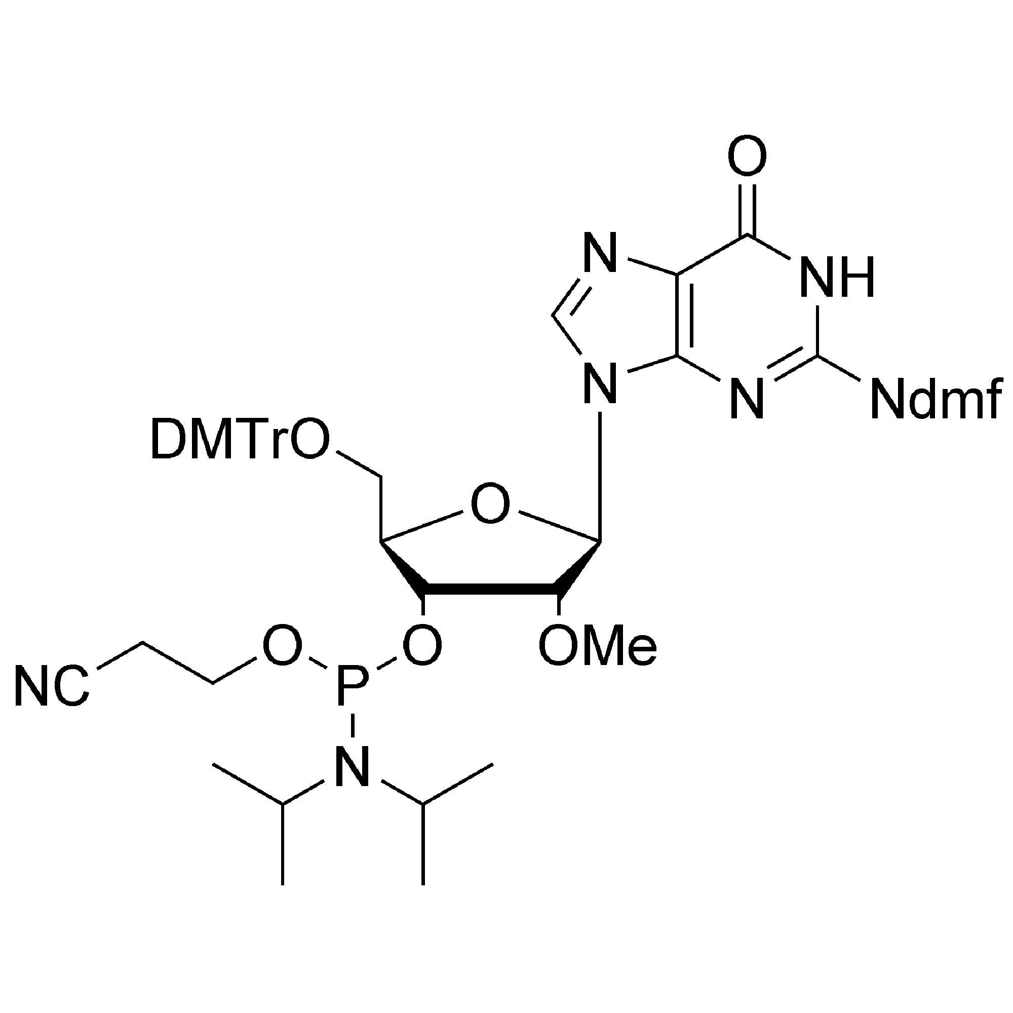
2'-OMe-G (dmf) CE-Phosphoramidite
You are currently seeing list prices, to see your prices please log in
2'-OMe-G (dmf) CE-Phosphoramidite
Phosphoramidite for incorporation of a 2'-O-methyl modified ribo-G nucleobase within an oligonucleotide
Key features
Show- Stringent QC includes testing for synthesis coupling efficiency
- Available pre-packaged for common synthesizers
Added to basket
Product information
Synthetic oligonucleotides, just like their natural counterparts, are prone to degradation once introduced into a cell. This degradation is due to the presence of exo and endonuclease enzymes, as well as inherent chemical instability (particularly for RNA). Under cellular conditions, this leads to fast in vivo degradation of oligos and a short half-life. (1) To reduce or eliminate this susceptibility, nuclease-resistant modifications can be introduced into oligonucleotides. For antisense or RNAi applications, incorporation of modifications conferring nuclease resistance is essential and such modifications are used routinely. There are a number of ways to introduce nuclease resistance into a synthetic oligonucleotide.
Most commonly, the substitution of 2'-OMe bases at some or all positions of an oligo is used as the preferred route to inducing nuclease resistance.(2) Since the nuclease resistance conferred by 2'-OMe lies between that of unmodified nucleosides (no resistance) and phosphorothiolation (highly resistant), extensive/complete 2'-O-methylation is frequently chosen when a high level of nuclease resistance is required. 2'-O-methylation also confers the desirable property of higher binding affinity (that is, higher duplex Tm) to the oligo for its target. For these reasons, 2'-OMe nucleosides are extensively used in siRNA and aptamer applications.
2'-O-Methyloligoribonucleotides are extremely useful reagents for a variety of molecular biology applications. The 2'-OMe RNA-RNA duplex is more thermally stable than the corresponding DNA-RNA one.(3) In addition, 2'-OMe-RNA is chemically more stable than either DNA or RNA and is resistant to degradation by RNA- or DNA-specific nucleases.(4) It is worth noting though that duplexes formed between oligos having 2'-OMe bases at all positions and RNA are incapable of RNase H activity, thus making them ineffective in RNaseH dependent antisense applications,(5) although they can suppress gene expression by blocking the mRNA translation process via steric hindrance.(6)
We provide a range of 2'-OMe phosphoramidites with a variety of protecting group strategies compatible with the usual DNA and RNA chemistries. Note that the 2'-OMe group in itself is not a 2'-OH protecting group strategy; the 2'-OMe group cannot be cleaved under RNA synthesis and deprotection conditions.
Ref:
- Rate of degradation of {alpha} and {beta}-oligodeoxynucleotides in Xenopus oocytes. Implications for anti-messenger strategies, C. Cazenave, M. Chevrier, T.T. Nguyen and C. Helene, Nucleic Acids Research, 15, 10507- 10521, 1987.
- (a) Evaluation of 2'-Modified Oligonucleotides Containing 2'-Deoxy Gaps as Antisense Inhibitors of Gene Expression, B.P. Monia, E.A. Lesnik, C. Gonzalez, W.F. Lima, D. McGee, C.J. Guinosso, A.M. Kawasaki, P.D. Cook and S.M. Frier, J. Biol. Chem., 268, 14514-14522, 1993; (b) Nuclease Resistance and Antisense Activity of Modified Oligonucleotides Targeted to Ha-ras, B.P. Monia, J.F. Johnston, H. Sasmor and L.L. Cummins, J. Biol. Chem., 271, 14533-14540, 1996.
- Synthesis and hybridization studies on two complementary nona(2'-O-methyl)ribonucleotides, H. Inoue, Y. Hayase, A. Imura, S. Iwai, K. Miura, and E. Ohtsuka, Nucleic Acids Research, 15, 6131-6148, 1987.
- Highly efficient chemical synthesis of 2'-O-methyloligoribonucleotides and tetrabiotinylated derivatives; novel probes that are resistant to degradation by RNA or DNA specific nucleases, B.S. Sproat, A.I. Lamond, B. Beijer, P. Neuner and U. Ryder, Nucleic Acids Research, 17, 3373-3386, 1989.
- Sequence-dependent hydrolysis of RNA using modified oligonucleotide splints and RNase H, H. Inoue, Y. Hayase, S. Iwai and E. Ohtsuka, FEBS Lett., 215, 327-330, 1987.
- Antisense technologies. Improvement through novel chemical modifications, J. Kurreck, Eur. J. Biochem., 270, 1628-1644, 2003.
Applicable Products
| LK2041 | 2'-OMe-Bz-A-CE Phosphoramidite |
| LK2042 | 2'-OMe-Bz-C-CE Phosphoramidite |
| LK2043 | 2'-OMe-Ac-C-CE Phosphoramidite |
| LK2044 | 2'-OMe-dmf-G-CE Phosphoramidite |
| LK2045 | 2'-OMe-U-CE Phosphoramidite |
| LK2083 | 2'-OMe-Pac-A-CE Phosphoramidite |
| LK2084 | 2'-OMe-iPr-Pac-G-CE Phosphoramidite |
| LK2310 | 2'-OMe-U-SynBase™ CPG 1000/110 |
| LK2311 | 2'-OMe-dmf-G-SynBase™ CPG 1000/110 |
| LK2312 | 2'-OMe-Bz-A-SynBase™ CPG 1000/110 |
| LK2313 | 2'-OMe-Bz-C-SynBase™ CPG 1000/110 |
| LK2314 | 2'-OMe-Ac-C-SynBase™ CPG 1000/110 |
Physical & Dilution Data
Dilution volumes (in ml) are for 0.1M solutions in dry acetonitrile (LK4050). Adjust accordingly for other concentrations. For µmol pack sizes, products should be diluted as 100µmol/ml to achieve 0.1M, regardless of molecular weight.
Item |
Mol. Formula |
Mol. Wt. |
Unit Wt. |
250mg |
500mg |
1g |
| LK2041 | C48H54N7O8P | 887.97 | 343.24 | 2.82 | 5.63 | 11.26 |
| LK2042 | C47H54N5O9P | 863.95 | 319.21 | 2.89 | 5.79 | 11.57 |
| LK2043 | C42H52N5O9P | 801.88 | 319.21 | 3.12 | 6.24 | 12.47 |
| LK2044 | C44H56N8O8P | 855.95 | 359.24 | 2.92 | 5.84 | 11.68 |
| LK2045 | C40H49N4O9P | 760.82 | 320.20 | 3.29 | 6.57 | 13.14 |
| LK2083 | C49H56N7O9P | 917.99 | 343.24 | 2.72 | 5.45 | 10.89 |
| LK2084 | C52H62N7O10P | 976.07 | 359.24 | 2.56 | 5.12 | 10.25 |
| LK2310 | - | - | 320.20 | - | - | - |
| LK2311 | - | - | 359.24 | - | - | - |
| LK2312 | - | - | 343.24 | - | - | - |
| LK2313 | - | - | 319.21 | - | - | - |
| LK2314 | - | - | 319.21 | - | - | - |
Coupling
To optimise efficiency a 6min coupling time is recommended for the phosphoramidites. Use of the supports does not require any change to the synthesis cycle.
Cleavage & Deprotection
Standard oligonucleotide deprotection conditions can be applied when deprotecting an oligo synthesised using these products.
Ac-C (LK2043) must be used when employing AMA deprotection (10min at 65°C). UltraMILD deprotection can be used with Pac-A (LK2083), iPr-Pac-G (LK2084) and LK2043. Bz-C (LK2042 or LK2313) cannot be used with AMA deprotections.
Storage & Stability
All products are stored refrigerated at 2 to 8˚C. Stability in solution is 3-5 days.
Do you need these to complete your set?
Select your options for 2'-OMe-G (dmf) CE-Phosphoramidite to view items in this set
Access support
Need some support with placing an order, setting up an account, or finding the right protocol?
Contact us