
Biosearch Technologies is part of LGC Diagnostics & Genomics – Learn More
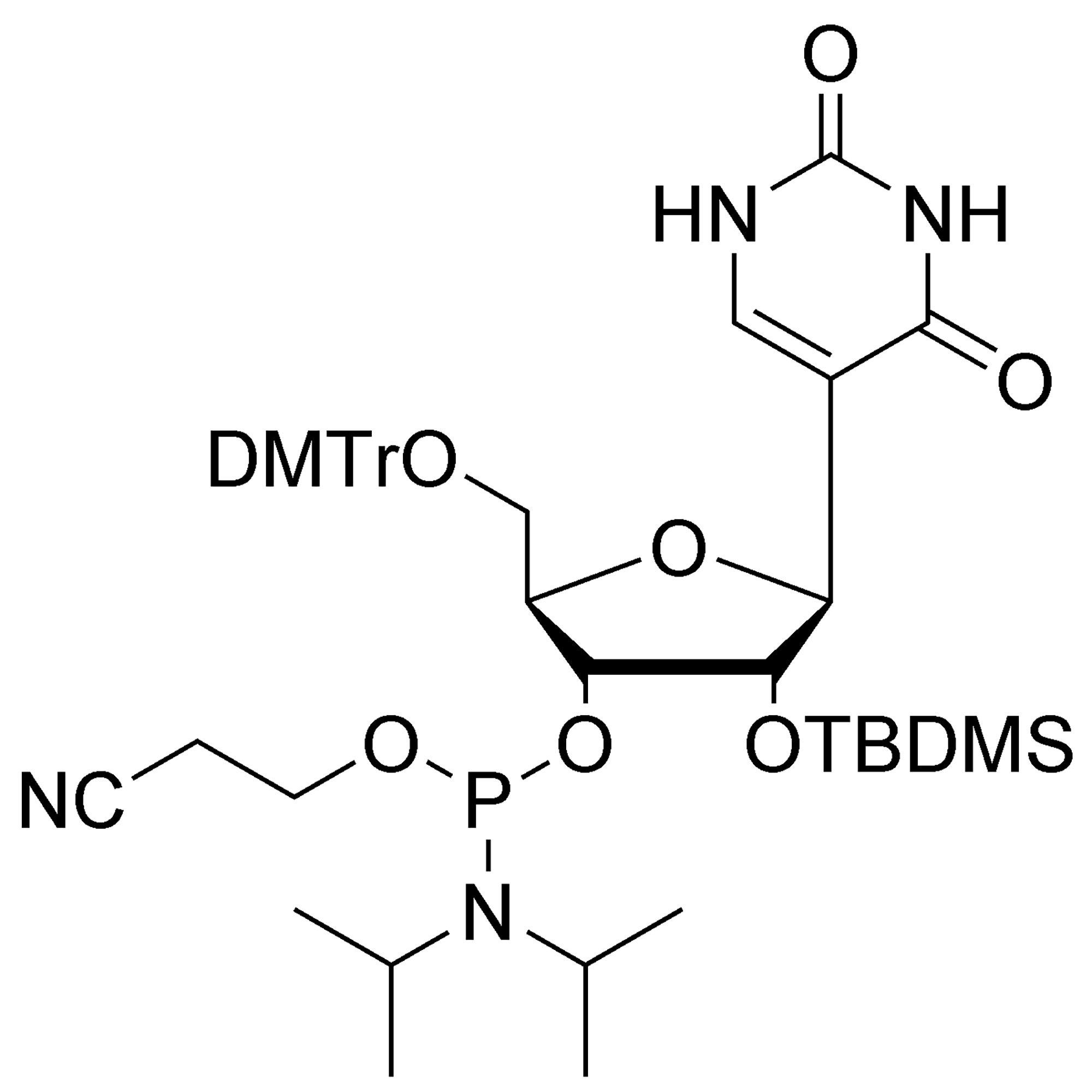
Pseudouridine (ψ) is one of the most common modified nucleosides found in RNA.(1) The uracil nucleobase is identical to that found in uridine except that it is attached to the ribose ring via C5 rather than N1, i.e. it is a C-nucleoside. Thus, in addition to the ability to form Watson-Crick base pairs with adenosine in the normal manner, it has an additional hydrogen bond donor at N1. This difference can strongly influence the overall structure of an RNA oligonucleotide. The ability to install a ψ residue site-specifically allows the systematic study of its effect on the structure, function and stability of RNA. Several strategies have been reported for the incorporation of ψ during the chemical synthesis of RNA oligonucleotides.(2) We now offer Pseudouridine CE-Phosphoramidite (BA0280) for this purpose. This particular version of pseudouridine phosphoramidite relies on standard cyanoethyl phosphoramidite coupling chemistry, 2'-O-TBDMS protection, and no nucleobase protecting groups.
Ref:
Need some support with placing an order, setting up an account, or finding the right protocol?
Contact us| Europe, Middle East, and Africa | |
|---|---|
| UK | +44 1992 470 757 |
| Germany | +49 30 1663 54600 |
| North America, Latin America | |
| Wisconsin, USA | +1 888 575 9695 |
| Asia Pacific | |
| China | +8621-22509000 |
| Singapore | +65 6734 4800 |