Skip to content Skip to navigation menu
New Site Launched: Looking for oligos? Visit our new oligo and Stellaris dedicated platform at oligos.biosearchtech.com
Happy Holidays! View our holiday closures and shipping schedule. HOLIDAY SCHEDULE
 

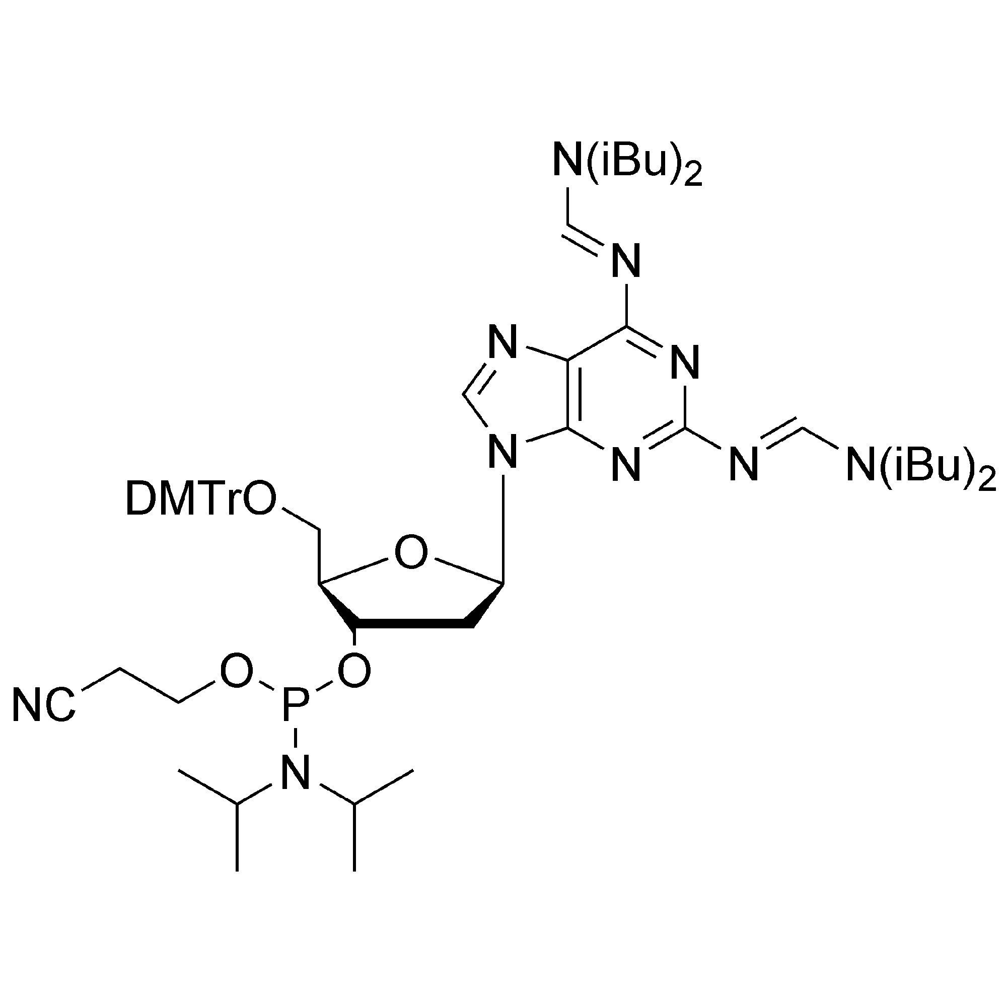
2-Amino-dA CE-Phosphoramidite

2-Amino-dA CE-Phosphoramidite

CAS No.:1432451-35-8

Phosphoramidite used to incorporate a 2-amino-modified deoxyadenosine into an oligonucleotide.

Key features

Show Hide
  • Improves duplex stabilisation when used in place of dA. Forms an additional hydrogen bond with thymidine.
  • Also destabilises A-G wobble mismatches, thus increasing specificity.
  • Also known as 2,6-diaminopurine.
Option 1: Select a Size
Option 2: Select a Bottle Type
TBD
Add to basket to request a quote

Product information

During duplex hybridisation of unmodified oligos, A-T base pairs have two hydrogen bonds, whereas G-C base pairs have three. One of the simplest methods of improving duplex stabilisation is the use of 2-Amino-dA phosphoramidite (2,6-diaminopurine) in place of dA.(1) This forms an additional hydrogen bond with thymidine. However, this product also destabilises A-G wobble mismatches, thus increasing specificity.

Ref:

  1. Oligonucleotides containing 2-aminoadenine and 5-methylcytosine are more effective as primers for PCR amplification than their non-modified counterparts, Y. Lebedev, N. Akopyants, T. Azhikina, Y. Shevchenko, V. Potapov, D. Stecenko, D. Berg and E. Sverdlov, Genetic Analysis – Biomolecular Engineering, 13, 15-21, 1996.

Access support

Need some support with placing an order, setting up an account, or finding the right protocol?

Contact us