Skip to content Skip to navigation menu
Looking for oligos? Visit our new oligo and Stellaris dedicated platform at oligos.biosearchtech.com
 

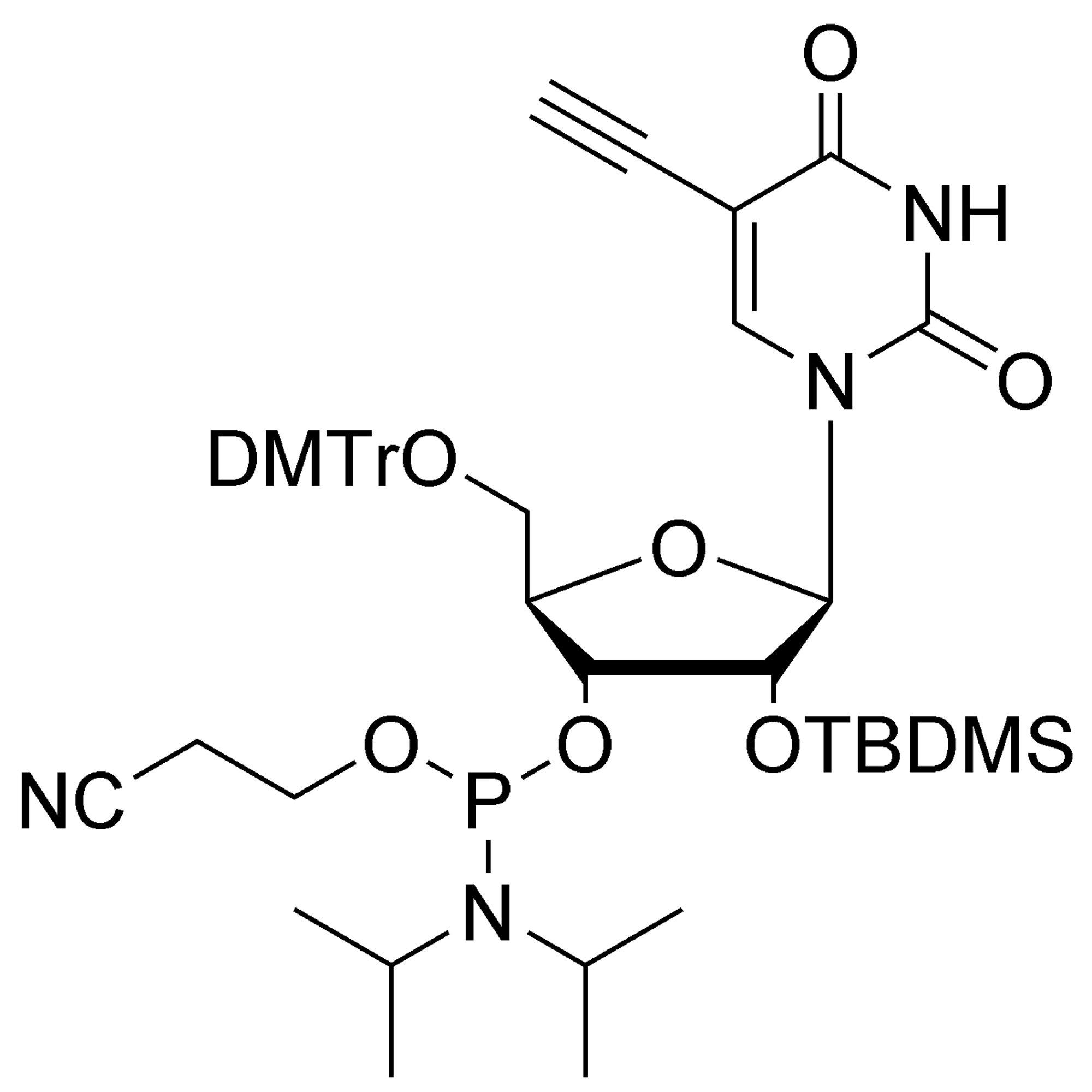
5-Ethynyl-Uridine CE-Phosphoramidite

5-Ethynyl-Uridine CE-Phosphoramidite

CAS No.:1193451-06-7

Phosphoramidite used to incorporate alkyne-U functionality into an oligonucleotide for coupling reactions.
Option 1: Select a Size
Option 2: Select a Bottle Type
TBD
Add to basket to request a quote

Product information

Oligonucleotides with 5-ethynyl residues may be used in transition metal-catalyzed coupling reactions. Two ethynyl-bearing oligonucleotides can be homo-coupled via a diyne linkage using copper catalysis. Further, the ethynyl groups may be used in copper-catalyzed couplings with arylacetylenes bearing anthraquinone, biotin, or fluorescein appendages.(1) Palladium catalyzed cross-coupling of ethynyl-dU-bearing oligonucleotidies with 2-iodoanthraquinone provides anthraquinone-bearing nucleic acids useful in electrochemical applications of DNA.(2)

Ref:

  1. Minakawa, N.; Ono, Y.; Matsuda, A. J. Am. Chem. Soc. 2003, 125, 11545-11552.
  2. Gorodetsky, A. A.; Green, O.; Yavin, E.; Barton, J. K. Bioconjugate Chem. 2007, 18, 1434-1441.

Access support

Need some support with placing an order, setting up an account, or finding the right protocol?

Contact us