
Biosearch Technologies is part of LGC Diagnostics & Genomics – Learn More
The general design of the PC monomers is based on an α-substituted 2-nitrobenzyl group.(1) The photo-reactive group is derivatised as a cyanoethyl phosphoramidite for use in automated DNA synthesis.(2)
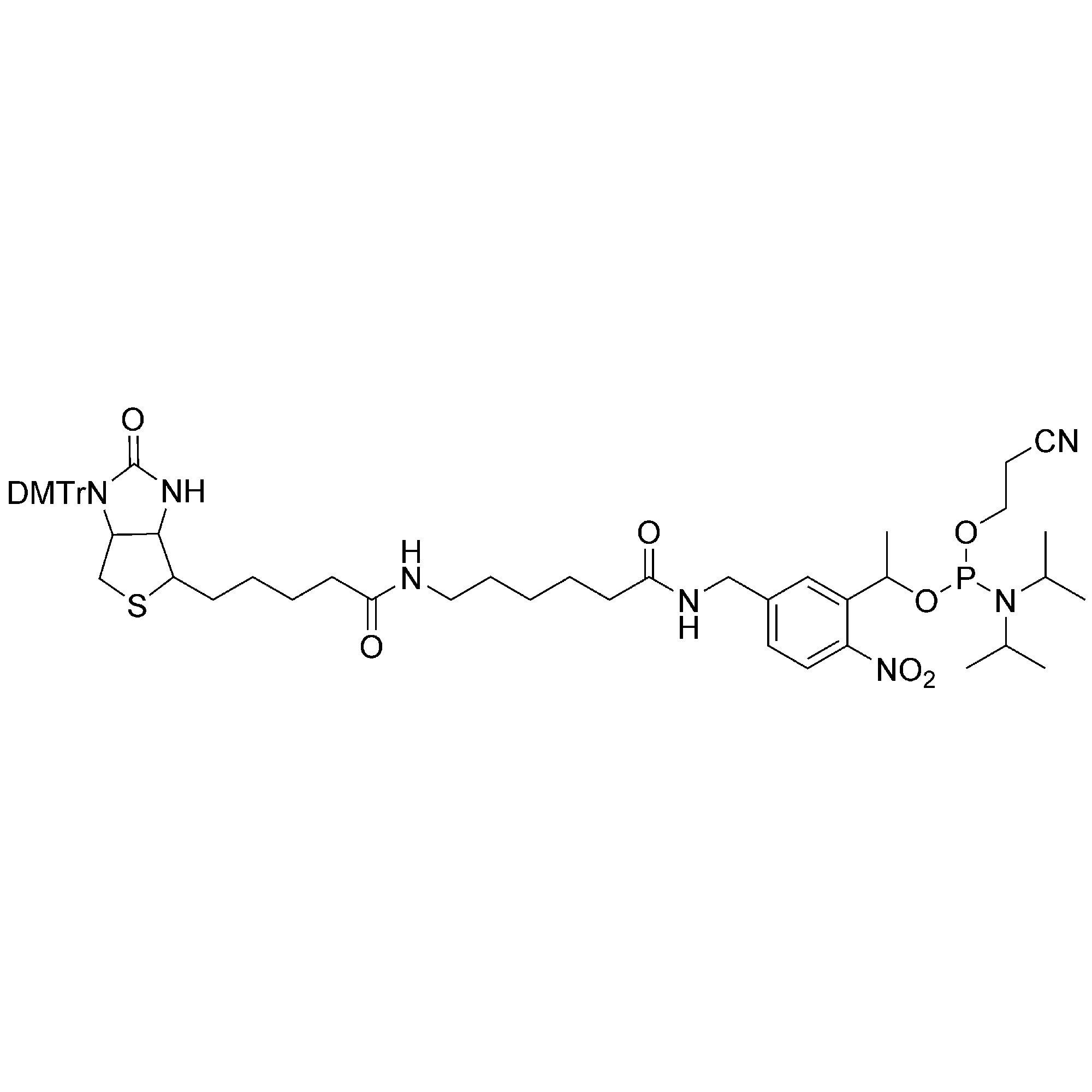
The PC 5'-Biotin-CE Phosphoramidite contains a biotinyl moiety that bears a trityl group on the N-1 nitrogen atom. This is primarily for N-protection rather than to facilitate coupling efficiency monitoring by trityl cation assay. However, the N-DMTr group enables cartridge purification of the oligo.
5’ Addition of PC Amino-Modifier-CE Phosphoramidite to an oligonucleotide, followed by cleavage from the support and deprotection, results in an aminolinker separated from the oligo by a photocleavable linker. The amino group is then used in post-synthetic modification with amine reactive reagents or to attach synthetic oligonucleotides to activated solid supports. This is particularly useful for capturing DNA or RNA where the oligonucleotide/DNA duplex is cleaved from the surface by photolysis of the PC linker.
While the biotin and amino modifiers are both 5'-terminus modifiers, both the PC Spacer and PC Linker phosphoramidites can be used as mid-sequence modifiers (for example for use with mass markers).
Upon irradiating a PC-modified oligo with near-UV light, the phosphodiester bond between the linker and the phosphate is cleaved, resulting in the formation of a 5'-monophosphate on the released oligonucleotide. PC Linker has the added advantage in that photocleavage results in monophosphate fragments at both the 3'- and 5'-termini.
Photocleavable modifiers have a wide range of applications including in affinity conjugation and purification, oligonucleotide isolation and purification, and photo-triggered strand cleavage. For further detailed information see our catalogue.
Ref:
| LK2066 | PC Linker-CE Phosphoramidite |
| LK2122 | PC 5'-Biotin-CE Phosphoramidite |
| LK2130 | PC 5'-Amino-Modifier-CE Phosphoramidite |
| LK2131 | PC Spacer-CE Phosphoramidite |
Dilution volumes (in ml) are for 0.1M solutions in dry acetonitrile (LK4050). Adjust accordingly for other concentrations. For µmol pack sizes, products should be diluted as 100µmol/ml to achieve 0.1M, regardless of molecular weight.
Item |
Mol. Formula |
Mol. Wt. |
Unit Wt. |
250mg |
500mg |
1g |
| LK2066 | C39H46N3O7P | 699.78 | 259.15 | 3.57 | 7.15 | 14.29 |
| LK2122 | C55H72N7O9PS | 1038.25 | 597.62 | 2.41 | 4.82 | 9.63 |
| LK2130 | C26H39N5O6PF3 | 605.59 | 371.32 | 4.13 | 8.26 | 16.51 |
| LK2131 | C43H53N4O8P | 784.88 | 344.26 | 3.19 | 6.37 | 12.74 |
For the PC 5’-Biotin (LK2122), PC Amino (LK2130) & PC Spacer (LK2131) products a 2min coupling time is recommended. For coupling efficiencies >95% with PC Linker (LK2066), an extended coupling time of 15min is recommended.
A second deblock step is recommended for the biotin product (LK2122) if the final DMTr group is to be removed on the synthesiser (the DMTr group is slow to detritylate from the N1 position of biotin).
For LK2130 a column wash with 10-20% diispropylamine in acetonitrile or 10-20% DEA/acetonitrile is required prior to cleavage and deprotection of the oligo.
Both LK2130 and LK2131 deprotect under standard conditions. The trifluoroacetyl (TFA) group in the amino product (2130) is base labile and is therefore removed during the ammonium hydroxide or AMA deprotection leaving the 5’-amine.
For 2066, the ß-cyanoethyl group is removed under standard deprotection conditions.
Photocleavage is carried out simply by exposure of the oligo in 0.1M TEAA solution to a hand-held UV light source (~365nm) at room temperature. Quantitative cleavage occurs with a 1mW/cm2 lamp after irradiation for 10min when using products LK2122, LK2130 and LK2131. Up to 30min with a 25mW/cm2 lamp may be necessary for 2066. The time taken for photocleavage will depend on the intensity of the lamp used. More powerful UV light sources can be used, although to avoid damaging the DNA (thymidine dimer formation) a 300nm cut-out filter is required.
When using 2066 the release of the 3’-phosphate oligo has been shown to be pH dependent. Conversion rates are higher at pH 9.4 than at 7.4. Release of the 5’-phosphate occurs directly upon photocleavage
Opaque magnetic particles are not recommended in PC-biotin-avidin capture applications. Glass particles, e.g. CPG, are best used otherwise photocleavage will be restricted to only 5-10%.
All modifiers are stored dry and protected from exposure to light in a freezer at –10 to –30°C. Stability in solution is 2-3 days. PC-modified oligos are best protected from over-exposure to light where possible.
The Photocleavable (PC) Modifiers were developed by Ambergen Inc., Massachusetts, US, Link Technologies Ltd, Bellshill, Scotland and Glen Research Corp., Virginia, US and are made available under licence from Ambergen Inc.
Need some support with placing an order, setting up an account, or finding the right protocol?
Contact us| Europe, Middle East, and Africa | |
|---|---|
| UK | +44 1992 470 757 |
| Germany | +49 30 1663 54600 |
| North America, Latin America | |
| Wisconsin, USA | +1 888 575 9695 |
| Asia Pacific | |
| China | +8621-22509000 |
| Singapore | +65 6734 4800 |